Intro and Derivation
Mohr’s circle is a geometric representation of plane (2D) stress transformation and allows us to quickly visualize how the normal (σ) and shear (τ) stress components change as their plane changes orientation.
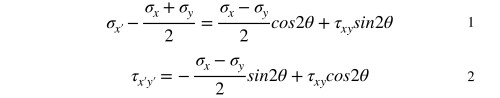
German civil engineer Otto Mohr developed this method from the good ol’ stress transformation equations. Recall:
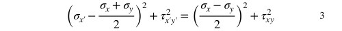
If we remove θ by squaring both sides of each equation and then add the two equations together, we get:
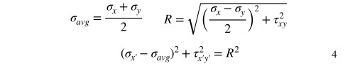
After defining σavg and R, we can modify Equation 3 to get Equation 4, which is the equation for a circle with center (σavg,0) and radius R.

Sign Convention
The sign convention for normal stress (σ) is that tension is positive and compression is negative. Shear stress (τ) is illustrated below. Geotechnical engineers may use the opposite sign conventions, because they mostly deal with compressive stress.
Mohr’s circle is drawn with normal stress (σ) plotted on the abscissa (horizontal axis) and shear stress (τ) plotted on the ordinate (vertical axis). Normal stress (σ) is positive to the right, and shear stress (τ) is positive downward. 
Pole Method
Most mechanics of materials textbooks prefer using the Double Angle Method to draw Mohr’s circles. The general idea of this approach is that angles between radial lines in the Mohr’s circle are twice the actual angles between the real planes. In other words, a 40° rotation on the plane corresponds to an 80° rotation on the circle in the same direction.
We prefer the Pole Method, which is based on a unique point on the Mohr’s circle known as the pole. This pole is unique, because any straight line drawn through the pole intersects the Mohr’s circle at a point representing the state of stress on a plane with the same orientation as the line. As shown in the figure above, a line drawn through the pole and some stress point (σ,𝜏) on the circle is exactly parallel to the plane with corresponding σ and 𝜏, making this approach very intuitive! Let us illustrate how the pole method works.
To draw a Mohr’s circle, we need to know the plane state of stresses for an element. Consider this:
1. Plot the Stresses
Immediately, we know the two points that form the diameter of the circle, (σx,𝜏xy) = (80,40) and (σy,𝜏yx) = (20,-40). (If you are asking why 𝜏yx is -40, remember the sign convention for shear stress!) The center of the circle is the halfway point between σx and σy, or σavg.
2. Locate the Pole
Draw a straight line from one of the known stress points on the circle (σ,τ) in the direction of the plane on which (σ,τ) acts. Starting at point (80,40), a line is drawn parallel to the plane on which (80,40) acts. This is represented by the vertical dotted green line in the figure below. Starting at point (20,-40), a second line is drawn parallel to the plane on which (20,-40) acts. This is represented by the horizontal dotted pink line in the same figure below. The pole is at the intersection of these dotted lines on the circle. Note that there is only ONE pole!
3. Find Transformed Stresses (e.g. 30° CCW Rotation)
To find other states of stresses, we start drawing the lines from the pole instead of a known stress point (σ,τ). This is the general procedure:
- Draw a line from the pole in the direction of orientation of the transformed plane.
- The point where this line intersects the circle represents the state of stress acting on that plane.
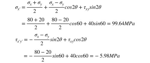
Let us assume a 30° counterclockwise (CCW) rotation of the element. Starting at the pole, to find the transformed counterpart of (20,-40), we draw a new line that is 30° CCW from the existing dotted pink line. The transformed stresses on this plane is where the new pink line intersects the circle. Similarly, to find the transformed counterpart of (80,40), we draw a new line from the pole that is 30° CCW from the existing dotted green line. The transformed stresses on this plane is where the new green line intersects the circle. Staying consistent with the rules, the new lines are parallel to their corresponding planes. The transformed stresses are:

To get these transformed stress values by hand, we would need a protractor to measure the angle and a ruler to connect the pole to the point of intersection on the circle. This can seem like an elaborate process, and it goes to show that hand-calculating plane stress transformations via Mohr’s circle is only an approximate method. To get the exact transformed stress values, we can use the good ol’ stress transformation equations.
4. Check with Analytical Method
Using the the stress transformation equations (Equations 1 and 2):
Because the center of the circle, or σavg, is the same (the circle does NOT move!), we can find σy’.
5. Principal Stresses
Principal stresses act on planes where τ = 0. The larger principal stress is called the major principal stress, and the smaller principal stress is called the minor principal stress.
Similar to finding transformed stresses, we draw lines from the pole to where τ = 0, or the two “x-intercepts” on the circle. The major and minor principal stresses are 100MPa and 0MPa, respectively. The angle, or the rotation required to reach zero shear stress on the plane, is measured between either pair of the original (dotted) line and the new line connecting the pole to the “x-intercept”.

Square vs. Triangle
Some textbooks show stress elements as squares (like in this article), while others show them as triangles. They are two different representations of the same element, because the triangles are just corner cutouts from the square, as shown below by the two a-a and b-b sections.
The advantage of the triangular representation is that we can visually identify the transformed stresses on the hypotenuse. However, since we are dealing with two transformed normal stresses (σx’ and σy’), we still need two triangles to give complete representation of plane stresses. In the figure below, ΔA is the sectioned area (length of hypotenuse × depth of 3D stress block).
TL;DR
- Stresses change as the plane on which they act changes orientation. Mohr’s circle “maps” these changes.
- Keeping a consistent sign convention is important.
- In Pole Method, things are determined in this order: (σ,τ) → pole → (σ’,τ’).
- To determine any transformed plane state of stress (σ’,τ’), we ALWAYS start at the pole and draw a line parallel to the plane. The point of intersection on the circle is (σ’,τ’).
Good explanation. All required are given with simple language.
LikeLiked by 1 person
Wonderful explanation!I hope to get more reference on Pole Method.
LikeLike
Great write-up! VERY informative and useful
LikeLike